TIÊU CHUẨN QUỐC GIA TCVN 14443:2025 (BS EN 17266:2019) VỀ THỰC PHẨM – XÁC ĐỊNH CÁC NGUYÊN TỐ VÀ HỢP CHẤT HÓA HỌC CỦA CHÚNG – XÁC ĐỊNH HÀM LƯỢNG THỦY NGÂN HỮU CƠ TRONG THỦY SẢN BẰNG PHÂN TÍCH THỦY NGÂN NGUYÊN TỐ
TCVN 14443:2025
BS EN 17266:2019
THỰC PHẨM – XÁC ĐỊNH CÁC NGUYÊN TỐ VÀ HỢP CHẤT HÓA HỌC CỦA CHÚNG – XÁC ĐỊNH HÀM LƯỢNG THỦY NGÂN HỮU CƠ TRONG THỦY SẢN BẰNG PHÂN TÍCH THỦY NGÂN NGUYÊN TỐ
Foodstuffs – Determination elements and their chemical species – Determination of organomercury in seafood by elemental mercury analysis
Lời nói đầu
TCVN 14443:2025 hoàn toàn tương đương với BS EN 17266:2019;
TCVN 14443:2025 do Ban kỹ thuật tiêu chuẩn quốc gia TCVN/TC/F11 Thủy sản và sản phẩm thủy sản biên soạn, Viện Tiêu chuẩn Chất lượng Việt Nam đề nghị, Ủy ban Tiêu chuẩn Đo lường Chất lượng Quốc gia thẩm định, Bộ Khoa học và Công nghệ công bố.
THỰC PHẨM – XÁC ĐỊNH CÁC NGUYÊN TỐ VÀ HỢP CHẤT HÓA HỌC CỦA CHÚNG – XÁC ĐỊNH HÀM LƯỢNG THỦY NGÂN HỮU CƠ TRONG THỦY SẢN BẰNG PHÂN TÍCH THỦY NGÂN NGUYÊN TỐ
Foodstuffs – Determination elements and their chemical species – Determination of organomercury in seafood by elemental mercury analysis
Tiêu chuẩn này quy định phương pháp phân tích thủy ngân nguyên tố để xác định hàm lượng thủy ngân hữu cơ trong thủy sản. Phương pháp này đã được xác nhận giá trị sử dụng trong nghiên cứu liên phòng thử nghiệm trên thịt hàu, thịt vẹm, gan tụy của tôm hùm, gan cá nhám và cá ngừ ở các mức nồng độ từ 0,01 mg/kg đến 5 mg/kg tính theo hàm lượng chất khô và được biểu thị theo thủy ngân [1], [2].
Giới hạn định lượng thủy ngân hữu cơ là khoảng 0,01 mg/kg [3], [4],
Ngoài monomethyl thủy ngân, các loại thủy ngân hữu cơ khác cũng được chiết và xác định bằng phương pháp này. Tuy nhiên, trong thủy sản sự có mặt của các loại thủy ngân hữu cơ khác ngoài monomethyl thủy ngân lả không đáng kể.
Các tài liệu viện dẫn sau là rất cần thiết cho việc áp dụng tiêu chuẩn. Đối với các tài liệu viện dẫn ghi năm công bố thì áp dụng phiên bản được nêu. Đối với các tài liệu viện dẫn không ghi năm công bố thì áp dụng phiên bản mới nhất, bao gồm cả các sửa đổi, bổ sung (nếu có).
TCVN 4851 (ISO 3696), Nước dùng để phân tích trong phòng thí nghiệm – Yêu cầu kỹ thuật và phương pháp thử.
TCVN 11489 (EN 13804), Thực phẩm – Xác định các nguyên tố vết và các hợp chất hóa học của chúng – Xem xét chung và các yêu cầu cụ thể.
Trong tiêu chuẩn này không có thuật ngữ nào được định nghĩa.
Sử dụng phương pháp chiết lỏng-lỏng hai lần để tách thủy ngân hữu cơ trong thủy sản/sản phẩm thủy sản ra khỏi nền mẫu, đầu tiên chiết bằng dung môi hữu cơ (toluen), sau đó chiết bằng dung dịch L-cystein và xác định bằng thiết bị phân tích thủy ngân nguyên tố [3], [4].
Thiết bị phân tích thủy ngân nguyên tố tự động hoặc trực tiếp là thiết bị đo quang phổ hấp thụ nguyên tử chỉ dùng để xác định thủy ngân. Việc xác định thủy ngân bằng thiết bị phân tích thủy ngân nguyên tố dựa trên quá trình làm khô mẫu, sau đó phân hủy nhiệt, bao gồm cả nguyên tử hóa thủy ngân bằng nhiệt điện. Sử dụng máy trộn amalgam có bộ bẫy bằng vàng có chức năng chọn lọc và làm giàu thủy ngân từ dòng sản phẩm phân hủy. Cuối cùng, thủy ngân bị giữ lại được tách ra bằng nhiệt và được phát hiện bằng đo độ hấp thụ nguyên tử ở bước sóng 253,7 nm. Các kết quả thủy ngân hữu cơ được biểu thị theo thủy ngân, tính bằng mg/kg.
Có thể sử dụng các kỹ thuật phát hiện thay thế, miễn là chứng minh được sự tương đương về hiệu năng của phương pháp.
Nồng độ khối lượng của thủy ngân trong thuốc thử và nước phải đủ thấp để không ảnh hưởng đến kết quả. Sử dụng các thuốc thử loại tinh khiết phân tích hoặc tương đương trừ khi có quy định khác.
Sử dụng nước phù hợp với loại 2 của TCVN 4851 (ISO 3696).
5.1 Acid nitric, w(HNO3) = 65 % (phần khối lượng), khối lượng riêng xấp xỉ 1,4 g/ml.
5.2 Acid chlorhydric, w(HCl) = 32 % (phần khối lượng), khối lượng riêng xấp xỉ 1,18 g/ml.
5.3 Dung dịch acid chlorhydric loãng
Trộn các thể tích bằng nhau của acid chlorhydric (5.2) và nước.
5.4 Acid bromhydric, w(HBr) khoảng 47 %, khối lượng riêng xấp xỉ 1,47 g/ml.
5.5 Toluen
5.6 L-cystein hydrochloride ngậm một phân tử nước, ví dụ: loại Ph. Eur. hoặc USP 1).
5.7 Natri sulfat khan.
5.8 Natri acetat khan.
5.9 Dung dịch L-cystein, nồng độ khối lượng ρ = 1 g/100 ml.
Cân 1,0 g L-cystein hydrochloride ngậm một phân tử nước (5.6), 12,5 g natri sulfat (5.7) và 0,8 g natri acetat (5.8) cho vào cốc có mỏ 100 ml. Thêm khoảng 75 ml nước và khuấy cho đến khi hòa tan hoàn toàn. Chuyển toàn bộ dung dịch này vào bình định mức dung tích 100 ml và thêm nước đến vạch. Dung dịch này có thể bảo quản được 1 ngày ở nhiệt độ thường. Có thể sử dụng các thể tích chuẩn bị khác của dung dịch miễn là giữ đúng tỷ lệ.
Nồng độ khối lượng của thủy ngân trong dung dịch L-cystein phải càng thấp càng tốt. Dung dịch này có độ tinh khiết sao cho tín hiệu đối với thủy ngân nhỏ hơn một nửa tín hiệu của dung dịch chuẩn thủy ngân 1 μg/L (dung dịch hiệu chuẩn 1, xem 5.13)
L-cystein kết tủa trên ống xúc tác, do đó cần thay hoặc làm sạch ống khi thích hợp.
5.10 Dung dịch gốc thủy ngân, nồng độ Hg ρ(Hg) = 1 000 mg/L.
5.11 Monomethyl thủy ngân (MMHg) chloride, độ tinh khiết tối thiểu là 95 %.
5.12 Dung dịch chuẩn thủy ngân
5.12.1 Dung dịch chuẩn thủy ngân 1 (nồng độ Hg ρ = 10 mg/L)
Dùng pipet lấy 1,0 ml dung dịch gốc thủy ngân nồng độ Hg 1 000 mg/L(5.10) có bán sẵn cho vào bình định mức dung tích 100 ml, thêm 2,0 ml dung dịch acid chlorhydric loãng (5.3) và thêm nước đến vạch. Dung dịch này bền trong 6 tháng khi đựng trong lọ thủy tinh để trong tủ lạnh ở nhiệt độ trong khoảng 2 °C đến 10°C.
5.12.2 Dung dịch chuẩn thủy ngân 2 (nồng độ Hg ρ = 0,50 mg/L)
Dùng pipet lấy 2,5 ml dung dịch chuẩn thủy ngân 1 (5.12.1) cho vào bình định mức dung tích 50 ml, thêm 1,0 ml dung dịch acid chlorhydric loãng (5.3) và thêm nước đến vạch. Dung dịch này bền trong 2 tháng khi đựng trong lọ thủy tinh để trong tủ lạnh ở nhiệt độ trong khoảng 2 °C đến 10 °C.
5.13 Dung dịch hiệu chuẩn
Do tín hiệu của thiết bị phân tích thủy ngân nguyên tố có độ ổn định cao, nên không cần hiệu chuẩn lại cho mỗi trình tự phân tích. Việc hiệu chuẩn thường ổn định trong ít nhất 1 năm. Vì lý do đó, mọi hiệu chuẩn thiết bị sẽ được duy trì trong khoảng thời gian đó, miễn là các biện pháp kiểm soát chất lượng cho mỗi trình tự đều đáp ứng. Tuy nhiên, nếu thay máy trộn amalgam bằng vàng hoặc ống xúc tác, thì tín hiệu có thể thay đổi và cần hiệu chuẩn mới, Trong trường hợp như vậy, phân tích 500 μl từng dung dịch hiệu chuẩn (từ mẫu trắng đến mẫu có nồng độ Hg 100 μg/L). Để chọn dung dịch hiệu chuẩn tương ứng cho mỗi đường chuẩn, xem 7.4. Đối với tiêu chí chấp nhận liên quan đến đường chuẩn, xem 8.3.
Chọn các dung dịch hiệu chuẩn tùy thuộc vào cuvet được sử dụng, do đó tùy thuộc vào mức nồng độ dự kiến của mẫu thử. Điều này được mô tả đầy đủ trong 7.4.
Chuẩn bị tất cả các dung dịch hiệu chuẩn mới cho mỗi lần hiệu chuẩn.
Có thể sử dụng các thể tích dung dịch thích hợp khác để chuẩn bị các dung dịch hiệu chuẩn với điều kiện các thể tích dung dịch này duy trì các tỷ lệ được nêu dưới đây. Dùng pipet lấy dung dịch chuẩn thủy ngân 2 (5.12.2) hoặc dung dịch hiệu chuẩn 7 (xem Bảng 1) cho vào bình định mức dung tích 50 ml và thêm dung dịch L-cystein (5.9) đến vạch theo Bảng 1.
Sử dụng dung dịch L-cystein (5.9) làm mẫu trắng (mức 0) để hiệu chuẩn.
Bảng 1 – Ví dụ về các dung dịch hiệu chuẩn
|
Số dung dịch hiệu chuẩn |
Dung dịch ban đầu |
Thể tích dung dịch ban đầu ml |
Nồng độ thủy ngân cuối cùng (ρ) μg/l |
|
0 |
Dung dịch L-cystein (5.9) |
50 |
0 |
|
1 |
Dung dịch hiệu chuẩn số 7 |
1,0 |
1,0 |
|
2 |
Dung dịch hiệu chuẩn số 7 |
2,5 |
2,5 |
|
3 |
Dung dịch chuẩn 2 (5.12.2) |
0,5 |
5,0 |
|
4 |
Dung dịch chuẩn 2 (5.12.2) |
1,0 |
10 |
|
5 |
Dung dịch chuẩn 2 (5.12.2) |
1,5 |
15 |
|
6 |
Dung dịch chuẩn 2 (5.12.2) |
2,5 |
25 |
|
7 |
Dung dịch chuẩn 2 (5.12.2) |
5,0 |
50 |
|
8 |
Dung dịch chuẩn 2 (5.12.2) |
7,5 |
75 |
|
9 |
Dung dịch chuẩn 2 (5.12.2) |
10,0 |
100 |
5.14 Dung dịch kiểm soát chất lượng nội chuẩn
5.14.1 Yêu cầu chung
Do tín hiệu của thiết bị phân tích thủy ngân nguyên tố ổn định cao, nên không cần hiệu chuẩn lại thiết bị cho mỗi trình tự phân tích. Tuy nhiên, một số dung dịch kiểm soát được sử dụng để đảm bảo hiệu lực của quá trình hiệu chuẩn gần nhất. Mỗi đường chuẩn cần được so sánh với dung dịch ngoại chuẩn để chứng minh không sai sót trong quá trình chuẩn bị dung dịch hiệu chuẩn trung gian.
Dung dịch kiểm soát chất lượng 2 (QC2) đảm bảo việc định lượng ở mức thấp vẫn đúng. Dung dịch kiểm soát chất lượng 1 (QC1) chứng tỏ tín hiệu ổn định ở nồng độ cao và không phát hiện thấy độ trôi mất kiểm soát do QC1 được đặt ở cuối trình tự phân tích.
Có thể sử dụng phép phân tích mẫu chuẩn (RM) để thay thế.
5.14.2 Dung dịch kiểm soát chất lượng 1 (QC1), (nồng độ Hg ρ = 50 μg/L)
Dùng pipet lấy 5,0 ml dung dịch chuẩn thủy ngân 2 (5.12.2) cho vào bình định mức dung tích 50 ml và thêm dung dịch L-cystein (5.9) đến vạch. Chuẩn bị dung dịch mới cho mỗi trình tự phân tích.
Các tùy chọn thay thế dưới đây để chuẩn bị QC1 được đưa ra làm ví dụ:
– QC1 có thể được chuẩn bị bằng cách sử dụng các dung dịch trung gian được chuẩn bị từ các nhãn hiệu hoặc mẻ dung dịch gốc nồng độ Hg 1 000 mg/L (5.10) có bán sẵn khác với các dung dịch được sử dụng để chuẩn bị dung dịch hiệu chuẩn.
– QC1 có thể được chuẩn bị từ dung dịch chuẩn monomethyl thủy ngân chloride (5.11). Trong trường hợp đó, dùng pipet lấy 2,7 ml dung dịch thêm chuẩn 2 (5.15.2) cho vào bình định mức dung tích 50 ml và thêm dung dịch L-cystein 1 % (khối lượng/thể tích) (5.9) đến vạch.
5.14.3 Dung dịch kiểm soát chất lượng 2 (QC2), (nồng độ Hg ρ = 1 μg/L)
Dùng pipet lấy 1,0 ml dung dịch QC1 (5.14.2) cho vào bình định mức dung tích 50 ml và thêm dung dịch L-cystein (5.9) đến vạch. Chuẩn bị dung dịch mới cho mỗi trình tự phân tích
5.15 Dung dịch thêm chuẩn
5.15.1 Dung dịch thêm chuẩn 1 (ρ = 76,7 mg/L, biểu thị theo Hg)
Cân chính xác 24 mg monomethyl thủy ngân chloride (5.11), có tính đến độ tinh khiết để có nồng độ cuối cùng), cho vào bình định mức dung tích 250 ml, thêm khoảng 4 ml dung dịch acid chlorhydric loãng (5.3) và 200 ml nước. Lắc kỹ cho đến khi hòa tan hoàn toàn và thêm nước đến vạch. Dung dịch này bền trong 1 năm khi đựng trong vật chứa bằng thủy tinh để trong tủ lạnh (ở nhiệt độ khoảng 2 °C đến 10 °C).
5.15.2 Dung dịch thêm chuẩn 2 (ρ = 0,96 mg/l, biểu thị theo Hg)
Dùng pipet lấy 625 μl dung dịch thêm chuẩn 1 (5.15.1) cho vào bình định mức dung tích 50 ml, thêm 1 ml dung dịch acid chlorhydric loãng (5.3) và thêm nước đến vạch. Dung dịch này bền trong 3 tháng khi đựng trong vật chứa bằng thủy tinh để trong tủ lạnh (ở nhiệt độ khoảng 2 °C đến 10 °C).
Tất cả các thiết bị, dụng cụ thử nghiệm tiếp xúc trực tiếp với mẫu và dung dịch phải được xử lý trước/làm sạch kỹ theo TCVN 11489 (EN 13804) để giảm thiểu giá trị trắng.
6.1 Thiết bị phân tích thủy ngân nguyên tố.
6.2 Vật tư tiêu hao dùng cho thiết bị được sử dụng, ví dụ: cuvet dung tích 0,5 ml.
6.3 Cân phân tích, có thể cân chính xác đến miligam.
6.4 Máy ly tâm, có thể hoạt động ở gia tốc 3 600g.
6.5 Ống ly tâm, bằng polypropylen (PP) hoặc polyfluoropolyme.
6.6 Lọ nhỏ dùng cho máy sắc ký, bằng thủy tinh có nắp đậy.
7.1 Chuẩn bị mẫu thử
Cân chính xác từ 0,7 g đến 0,8 g mẫu thử (hoặc 0,2 g trong trường hợp mẫu đông khô, cộng với 0,5 ml nước) cho vào ống ly tâm dung tích 50 ml, thêm 10 ml acid bromhydric (5.4) và lắc ống bằng tay ít nhất 2 min, sau đó thêm 20 ml toluen (5.5) và lắc kỹ (ví dụ: bằng máy trộn Vortex) trong ít nhất 2 min. Ly tâm trong 10 min ở gia tốc 2 300g. Chuyển khoảng 15 ml huyền phù hữu cơ vào ống ly tâm dung tích 50 ml có chứa 6,0 ml dung dịch L-cystein (5.9).
Thêm 15 ml toluen vào ống ly tâm ban đầu (chứa pha acid bromhydric) và lặp lại lần chiết thứ hai với pha hữu cơ. Sau khi ly tâm, chuyển pha hữu cơ phía trên còn lại vào ống ly tâm dung tích 50 ml có chứa dung dịch L-cystein (5.9). Lắc kỹ (ví dụ: bằng máy trộn Vortex) trong ít nhất 2 min và ly tâm trong 10 min ở gia tốc 2 300g. Lấy một lượng từ 2 ml đến 3 ml dịch lỏng từ pha thấp hơn có L-cystein (và thủy ngân hữu cơ đã chiết) cho vào lọ nhỏ dùng cho máy sắc ký (6.6). Đảm bảo mẫu được phân tích không chứa toluen. Các mẫu thử cần được phân tích càng sớm càng tốt để giảm thiểu các vấn đề không ổn định.
Trong trường hợp huyền phù được tạo thành ở pha trung gian giữa pha toluen hữu cơ và pha acid bromhydric, gõ nhẹ vật chứa lên mặt bàn vài lần và ly tâm lại ở tốc độ cao hơn (ở gia tốc khoảng 3 600g trong 10 min). Sau 2 min, hai pha phải phân tách hoàn toàn. Nếu pha trung gian không mất đi, để dung dịch qua đêm để tăng khả năng phân tách của các pha.
Các dung dịch mẫu thử có nồng độ thủy ngân vượt quá mức nồng độ hiệu chuẩn cao nhất cần được pha loãng thích hợp bằng dung dịch L-cystein (5.9) hoặc bơm vào thiết bị lượng dịch chiết mẫu thử ít hơn lượng đã được phân tích lại để đảm bảo phép đo nằm trong dải hiệu chuẩn. Nếu nghi ngờ mẫu thử có nồng độ thủy ngân cao hơn (đối với loài săn mồi như cá ngừ hoặc cá mập) thì cần sử dụng lượng mẫu thử thấp hơn để chiết.
7.2 Dung dịch mẫu trắng thuốc thử
Song song với việc chiết mẫu, tiến hành phân tích dung dịch mẫu trắng thuốc thử không bao gồm mẫu thử áp dụng quy trình nêu trong 7.1.
7.3 Xác định bằng thiết bị phân tích thủy ngân nguyên tố
Bật thiết bị và để thiết bị đạt đến nhiệt độ làm việc. Làm sạch hệ thống bằng cách tăng nhiệt độ của máy phân tích và máy trộn amalgam trong một thời gian xác định. Sau đó cho khoảng 0,5 ml nước vào cuvet và tiến hành phân tích. Cuối cùng, thực hiện kiểm soát đường nền bằng một cuvet không chứa dung dịch đo. Kết quả nồng độ Hg phải ≤ 0,3 μg/L. Nếu không, làm sạch lại hệ thống như mô tả trước đó. Thực hiện trình tự phân tích (7.5) hoặc hiệu chuẩn (5.13, 7.4) từ 2 min đến 3 min sau bước làm sạch.
CHÚ THÍCH: Một số phần mềm thiết bị có tùy chọn “làm sạch”.
7.4 Thông số của thiết bị
Các thông số sau đây được đưa ra làm ví dụ; các thông số này có thể được điều chỉnh tùy thuộc vào thiết bị được sử dụng:
| Thời gian sấy: | 250 s |
| Nhiệt độ sấy: | (285 ± 25) °C |
| Thời gian phân hủy: | 150 s |
| Nhiệt độ phân hủy: | (725 ± 25) °C |
| Thể tích phân tích (đối với dung dịch mẫu thử, dung dịch chuẩn và mẫu trắng): | 500 μl |
Cuvet đo: Khi dải hiệu chuẩn khá lớn thì không dễ đạt được sự điều chỉnh tốt của đường chuẩn đối với tất cả các mức nồng độ, đặc biệt là ở nồng độ thấp. Do đó, có thể cần hai đường chuẩn khác nhau, nghĩa là sử dụng hai cuvet khác nhau tương ứng cho nồng độ thấp và nồng độ cao.
7.5 Trình tự phân tích
Sử dụng trình tự sau đây làm hướng dẫn:
– Dung dịch kiểm soát chất lượng 2 (5.14.3);
– Dung dịch mẫu trắng thuốc thử (7.2);
– Các dung dịch mẫu thử (7.1), bao gồm nền mẫu phù hợp với mẫu chuẩn (RM) hoặc mẫu thêm chuẩn;
– Dung dịch kiểm soát chất lượng 1 (5.14.2).
8.1 Độ thu hồi
Để xác định độ thu hồi, cân mẫu thử đại diện, thêm chuẩn bằng dung dịch thêm chuẩn 2 (5.15,2) và cân lại trước khi thêm thuốc thử.
Các mẫu thử có nguồn gốc từ các loài săn mồi lớn (ví dụ: cá ngừ, cá mập) được cho là có mức thủy ngân cao. Trong những trường hợp như vậy, có thể thêm từ 400 μl đến 600 μl dung dịch thêm chuẩn 2 (5.15.2) (hàm lượng Hg từ 0,48 mg/kg đến 0,72 mg/kg đối với 0,8 g mẫu). Đối với các loài thủy sản có mức thủy ngân thấp hơn, có thể thêm từ 100 μl đến 300 μl dung dịch thêm chuẩn 2 (5.15.2).
Để đánh giá độ đúng của phương pháp, sử dụng mẫu chuẩn có hàm lượng monomethyl thủy ngân đã biết. Mẫu chuẩn này càng phù hợp với các mẫu thử càng tốt. Trong trường hợp không có mẫu chuẩn, có thể sử dụng các mẫu thêm chuẩn của các nền mẫu và/hoặc mức nồng độ khác nhau.
Tiêu chí chấp nhận (được biểu thị bằng độ thu hồi tương đối).
70 % ≤ Rrec (%) ≤ 120 %
CHÚ THÍCH: Do các bước chiết bằng dung môi, nên độ thu hồi thường thấp hơn 100 % (xem dữ liệu về độ chụm trong Bảng A.1).
Trong trường hợp mẫu thêm chuẩn, tính độ thu hồi (Rrec) biểu thị bằng phần trăm (%) theo Công thức (1):
|
|
(1) |
Trong đó:
| w’ | là hàm lượng thủy ngân hữu cơ (biểu thị theo Hg) đo được trong mẫu thêm chuẩn, tính bằng miligam trên kilogam (mg/kg); |
| w | là hàm lượng thủy ngân hữu cơ (biểu thị theo Hg) đo được trong mẫu ban đầu (không thêm chuẩn), tính bằng miligam trên kilogam (mg/kg); |
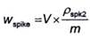
| wspike | là hàm lượng của dung dịch thêm chuẩn 2 (5.15.2) tính bằng miligam trên kilogam (mg/kg) theo Công thức (2). |
|
|
(2) |
Trong đó:
| V | là thể tích của dung dịch thêm chuẩn 2 (5.15.2), tính bằng mililit (ml); |
| ρspk2 | là nồng độ khối lượng của dung dịch thêm chuẩn 2 (5.15.2), tính bằng miligam trên lít (mg/L); |
| m | là khối lượng của mẫu thử, tính bằng gam (g). |
Trong trường hợp mẫu chuẩn, tính độ thu hồi (Rrec), biểu thị bằng phần trăm (%) theo Công thức (3):
|
|
(3) |
Trong đó:
| w | là hàm lượng thủy ngân hữu cơ (biểu thị theo Hg) đo được trong mẫu chuẩn, tính bằng miligam trên kilogam (mg/kg); |
| wref | là giá trị chuẩn của thủy ngân hữu cơ (biểu thị theo Hg) trong mẫu chuẩn, tính bằng miligam trên kilogam (mg/kg). |
8.2 Kiểm tra xác nhận thiết bị
Thực hiện kiểm tra xác nhận thiết bị bằng các dung dịch kiểm soát chất lượng nội chuẩn (5.14) ở đầu và cuối trình tự phân tích (7.5), xem 5.14.1 để biết chi tiết.
Tiêu chí chấp nhận (được biểu thị bằng dải nồng độ);
– QC2 (5.14.3): nồng độ từ 0,85 μg/L đến 1,15 μg/L;
– QC1 (5.14.2): nồng độ từ 45 μg/L đến 55 μg/L.
8.3 Đường chuẩn
Tính sai số còn lại là chênh lệch giữa giá trị nồng độ quan sát được và giá trị nồng độ lý thuyết cho mỗi dung dịch hiệu chuẩn.
Tiêu chí chấp nhận (được biểu thị bằng sai số dư tương đối):
– Đối với tất cả các dung dịch hiệu chuẩn: sai số ≤ 10 %;
– QC2 (5.14.3): sai số ≤ 15 %;
– QC1 (5.14.2): sai số ≤ 10 %.
8.4 Không có chất ô nhiễm
Kiểm tra ô nhiễm chéo bằng cách phân tích dung dịch mẫu trắng thuốc thử (7.2). Nồng độ thủy ngân hữu cơ biểu kiến thu được phải nhỏ hơn hoặc bằng 1/3 giới hạn định lượng.
9.1 Tính kết quả
Kết quả thu được trực tiếp khi áp dụng đường chuẩn, tính bằng microgam trên lít (μg/L) Hg trong dịch chiết. Tính phần khối lượng của thủy ngân hữu cơ, wHg, biểu thị theo Hg, tính bằng miligam trên kilogam (mg/kg), theo Công thức (4):
|
|
(4) |
Trong đó:
| Vcys | là thể tích của dung dịch L-cystein (5.9), Vcys = 6 ml; |
| ρ | là nồng độ khối lượng của thủy ngân trong dịch chiết, tính bằng microgam trên lít (μg/L); |
| D | là hệ số pha loãng, nếu cần; |
| m | là khối lượng của phần mẫu thử, tính bằng gam (g). |
9.2 Biểu thị kết quả
Biểu thị kết quả thủy ngân hữu cơ theo Hg, tính bằng miligam trên kilogam (mg/kg), cùng với độ không đảm bảo đo mở rộng liên quan (hệ số phủ k = 2).
10.1 Yêu cầu chung
Chi tiết về phép thử liên phòng thử nghiệm về độ chụm của phương pháp được tóm tắt trong Phụ lục A. Các giá trị thu được từ phép thử này có thể không áp dụng được cho các dải nồng độ chất phân tích và nền mẫu khác với dải nồng độ chất phân tích và nền mẫu nêu trong Phụ lục A. Chi tiết về kết quả của phép thử liên phòng thử nghiệm có thể xem Tài liệu tham khảo [1], [2].
10.2 Độ lặp lại
Chênh lệch tuyệt đối giữa hai kết quả thử nghiệm độc lập, đơn lẻ, thu được khi sử dụng cùng một phương pháp, trên vật liệu thử giống hệt nhau, trong cùng một phòng thử nghiệm, do cùng một người thực hiện, sử dụng cùng thiết bị, trong một khoảng thời gian ngắn, không được quá 5 % các trường hợp vượt quá giới hạn lặp lại r nêu trong Bảng 2.
10.3 Độ tái lập
Chênh lệch tuyệt đối giữa hai kết quả thử nghiệm độc lập, đơn lẻ, thu được khi sử dụng cùng một phương pháp, trên vật liệu thử giống hệt nhau, trong các phòng thử nghiệm khác nhau, do những người khác nhau thực hiện, sử dụng thiết bị khác nhau, không được quá 5 % các trường hợp vượt quá giới hạn tái lập R nêu trong Bảng 2.
Bảng 2 – Dữ liệu xác nhận giá trị sử dụng
|
Mẫu |
mg/kg |
r mg/kg |
R mg/kg |
| Thịt hàu |
0,018 9 |
0,006 4 |
0,013 2 |
| Thịt vẹm |
0,070 6 |
0,014 0 |
0,022 7 |
| Gan tụy tôm hùm |
0,147 |
0,025 |
0,042 |
| Gan cá nhám |
1,09 |
0,17 |
0,53 |
| Cá ngừ |
4,47 |
0,50 |
1,06 |
Để đảm bảo khả năng truy xuất các kết quả, tất cả dữ liệu phải được đăng ký. Báo cáo thử nghiệm phải tuân theo TCVN ISO/IEC 17025 (ISO/IEC 17025) [5] và phải bao gồm ít nhất các thông tin sau:
a) mọi thông tin cần thiết để nhận biết đầy đủ về mẫu thử;
b) phương pháp thử đã dùng, viện dẫn đến tiêu chuẩn này;
c) kết quả thu được và đơn vị biểu thị kết quả;
d) ngày tiến hành quy trình lấy mẫu (nếu biết);
e) ngày kết thúc phân tích;
f) tất cả các chi tiết thao tác không quy định trong tiêu chuẩn này hoặc được coi là tùy chọn, cùng với các chi tiết về sự cố bất kỳ khi thực hiện phương pháp có thể ảnh hưởng đến các kết quả thử nghiệm.
Tất cả các đặc tính hiệu năng của phương pháp liên quan đến độ chụm được tính từ các kết quả của nghiên cứu liên phòng thử nghiệm do Trung tâm Nghiên cứu chung (JRC), Tổng cục Ủy ban châu Âu tổ chức vào năm 2013 với sự tham gia của các phòng thử nghiệm từ Bỉ, Cộng hòa Séc, Pháp, Ý, Ba Lan, Bồ Đào Nha và Tây Ban Nha [1], [2]. Tất cả các giá trị được biểu thị bằng mg/kg, trừ khi được biểu thị bằng %. Tất cả các kết quả được nêu trong Bảng A.1.
Phân tích thống kê dữ liệu được thực hiện theo TCVN 6910-2 (ISO 5725-2 2)) [6].
Bảng A.1 – Dữ liệu về độ chụm
|
Thông số thống kê |
SRM 1566b a |
SRM 2974a a |
TORT-2 b |
DOLT-4 b |
ERM–CE464 c |
| Số phòng thử nghiệm tham gia |
11 |
11 |
12 |
12 |
11 |
| Số phòng thử nghiệm có giá trị định lượng |
11 |
11 |
12 |
12 |
11 |
| Số phòng thử nghiệm ngoại lệ |
2 |
1 |
1 |
1 |
1 |
| Số phòng thử nghiệm sau khi trừ ngoại lệ |
9 |
10 |
11 |
11 |
10 |
| Giá trị chuẩn wCRMd ± độ không đảm bảo đo mở rộng (k = 2), tính bằng mg/kg |
0,013 2 ±0,000 7 |
0,069 1 ± 0,000 8 |
0,15 ±0,013 |
1,33 ±0,12 |
5,12 ±0,34 |
| Giá trị trung bình |
0,018 9 ±0,009 5 |
0,070 6 ±0,016 2 |
0,147 ±0,030 |
1,09 ±0,38 |
4,47 ± 0,76 |
| Độ lệch chuẩn lặp lại sr, tính bằng mg/kg |
0,002 3 |
0,005 0 |
0,009 |
0,06 |
0,18 |
| Giới hạn lặp lại r(= 2,8 × sr), tính bằng mg/kg |
0,006 4 |
0,014 0 |
0,025 |
0,17 |
0,50 |
| Độ lệch chuẩn lặp lại tương đối RSDr |
12% |
5,1 % |
6,3 % |
5,6 % |
3,9 % |
| Độ lệch chuẩn tái lập sR, tính bằng mg/kg |
0,004 7 |
0,008 1 |
0,015 |
0,19 |
0,38 |
| Giới hạn tái lập R (= 2,8 × sR), tính bằng mg/kg |
0,013 2 |
0,022 7 |
0,042 |
0,53 |
1,06 |
| Độ lệch chuẩn tái lập tương đối RSDR |
25% |
12% |
10% |
17% |
8,4 % |
| Giá trị HorRat [7] |
1,14 |
0,55 |
0,49 |
1,08 |
0,66 |
| Tốc độ thu hồi Rrec [xem Công thức (3) ± độ không đảm bảo đo mở rộng URrec e (k = 2) |
143 ±71 |
103 ±24 |
97 ±22 |
82 ±29 |
87 ±16 |
| a SRM 1566b và SRM 2974a là các mẫu chuẩn đối chứng (tương ứng là thịt hàu và thịt vẹm), từ Viện Tiêu chuẩn và Công nghệ Quốc gia (NIST, Hoa Kỳ).
b TORT-2 và DOLT-4 là các mẫu chuẩn được chứng nhận (tương ứng là gan tụy tôm hùm và gan cá nhám), từ Hội đồng Nghiên cứu Quốc gia Canada (NRCC, Canada). c ERM-CE464 là mẫu chuẩn châu Âu (cá ngừ), từ Trung tâm nghiên cứu chung, Geel (JRC, EU). d Giá trị được chứng nhận (wCRM) và độ không đảm bảo đo mở rộng tương ứng (UwCRM ) được đưa ra trong chứng chỉ mẫu chuẩn được chứng nhận (CRM) tương ứng. e Độ không đảm bảo đo mở rộng của tỷ lệ thu hồi: |
|||||
Thư mục tài liệu tham khảo
[1] CORDEIRO F., GONCALVES S., CALDERÓ J., ROBOUCH P., EMTEBORG H., CONNELLY P. et al. IMEP- 115: Determination of methylmercury in seafood: A collobrative trial report, 2013. Available at https://ec.europa.eu/jrc/sites/default/files/imep-115_final_0.pdf
[2] CORDEIRO F, CALDERÓ J., GONCALVES s., LOURENCO M.H., ROBOUCH P., EMTEBORG H., CONNELLY P., TUKBA-TSHILUMBA M-F. and DE LA CALLE B.; IMEP-115 Determination of methylmercury in seafood by elemental mercury analyser – Collaborative stydy, J. of AOAC Int, 2014, 5, Vol. 97, 2 pp. 593-597
[3] SCERBO R., BARGHIGIANI C. Organic mercury determination in fish samμles usinh an automatic mercury analyser. Environ. Technol. 1998,19 pp. 339-342
[4] AFONSO C., LOUREACO M.H., PEREIRA C., MARTINS M., CARVALHO M.L., CASTRO M. et al. Total and organic mercury, selenium and alfa-tocopherol in some deep water fish species. J. Sci. Food Agric. 2008, 88 pp. 2543-2550
[5] TCVN ISO/IEC 17025 (ISO/IEC 17025), Yêu cầu Chung về năng lực của các phòng thử nghiệm và hiệu chuẩn
[6] TCVN 6910-2:2001 (ISO 5725-2:1994), Độ chính xác (độ đúng và độ chụm) của phương pháp đo và kết quả đo – Phần 2: Phương pháp cơ bản xác định độ lặp lại và độ tái lập của phương pháp đo tiêu chuẩn
[7] THOMPSON M. Recent Trends in Inter-laboratory Precision at ppb and sub-ppb Concentrations Relation to Fitness for Purpose Criteria in Proficiency Testing. Analyst (Lond.). 2000, 125 pp. 385-386.
1) Ph. Eur. = Chất chuẩn theo Dược điển châu Âu; USP = Chất chuẩn theo Dược điển Mỹ là các ví dụ về sản phẩm thích hợp có bán sẵn. Thông tin này đưa ra tạo thuận tiện cho người sử dụng tiêu chuẩn và không ẩn định sử dụng các sản phẩm này. Các sản phẩm tương đương có thể sử dụng nếu cho các kết quả tương tự.
2) ISO 5725-2:1994 đã được chấp nhận thành TCVN 6910-2:2001, Độ chính xác (độ đúng và độ chụm) của phương pháp đo và kết quả đo – Phần 2: Phương pháp cơ bản xác định độ lặp lại và độ tái lập của phương pháp đo tiêu chuẩn. Hiện đã có ISO 5725-2:2019.
| TIÊU CHUẨN QUỐC GIA TCVN 14443:2025 (BS EN 17266:2019) VỀ THỰC PHẨM – XÁC ĐỊNH CÁC NGUYÊN TỐ VÀ HỢP CHẤT HÓA HỌC CỦA CHÚNG – XÁC ĐỊNH HÀM LƯỢNG THỦY NGÂN HỮU CƠ TRONG THỦY SẢN BẰNG PHÂN TÍCH THỦY NGÂN NGUYÊN TỐ | |||
| Số, ký hiệu văn bản | TCVN14443:2025 | Ngày hiệu lực | |
| Loại văn bản | Tiêu chuẩn Việt Nam | Ngày đăng công báo | |
| Lĩnh vực |
An toàn thực phẩm |
Ngày ban hành | |
| Cơ quan ban hành | Tình trạng | Còn hiệu lực | |
Các văn bản liên kết
| Văn bản được hướng dẫn | Văn bản hướng dẫn | ||
| Văn bản được hợp nhất | Văn bản hợp nhất | ||
| Văn bản bị sửa đổi, bổ sung | Văn bản sửa đổi, bổ sung | ||
| Văn bản bị đính chính | Văn bản đính chính | ||
| Văn bản bị thay thế | Văn bản thay thế | ||
| Văn bản được dẫn chiếu | Văn bản căn cứ |
